13.Virtual Memory
Memory Hierarchy


Four Kernel Questions
These are:
Placement
Where can a block of memory go?
Identification
How do I find a block of memory?
Replacement
How do I make space for new blocks?
Write Policy
How do I propagate changes?
Consider these for registers and main memory
Main memory usually DRAM
Novel main memory is in progress
Optane, PCM, etc.
Placement
Memory Type
Placement
Comments
Registers
Anywhere; Int, FP, SPR
Compiler/programmer manages
Cache (SRAM)
Fixed in H/W
Direct-mapped, set-associative, fully-associative
DRAM
Anywhere
O/S manages
Disk
Anywhere
O/S manages
Virtual Memory
Use and benefits of virtual memory
Main memory becomes another level in the memory hierarchy
Enables programs with address space or working set that exceed physically available memory
No need for programmer to manage overlays, etc.
Sparse use of large address space is OK
Allows multiple users or programs to timeshare limited amount of physical memory space and address space
Bottom line: efficient use of expensive resource, and ease of programming
Virtual Memory enables
Use more memory than system has
Program can think it is the only one running
Don’t have to manage address space usage across programs
E.g. think it always starts at address 0x0
Memory protection
Each program has private VA space: no-one else can clobber
Better performance
Start running a large program before all of it has been loaded from disk
Virtual Memory - Placement
Main memory managed in larger blocks
Page size
typically 4K - 16KSuper page is emerging
Fully flexible placement; fully associative
Operating system manages placement
Indirection through
page table
Maintain mapping between:
Virtual address (seen by programmer)
Physical address (seen by main memory)
Fully associative implies expensive lookup?
In caches, yes: check multiple tags in parallel
In virtual memory, expensive lookup is avoided by using
a level of indirection
Lookup table or hash table
Called a
page table
Virtual Memory - Identification
Virtual Address
Physical Address
Dirty bit
0x20004000
0x2000
Y/N
Similar to cache tag array
Page table entry contains VA, PA, dirty bit
Virtual address:
Matches programmer view
Can be the same for multiple programs sharing same system, without conflicts
Physical address:
Invisible to programmer, managed by O/S
Created/deleted on demand basis, can change
Virtual Memory - Replacement
Similar to caches:
FIFO
LRU;
overhead too high
Approximated with reference bit checks
Clock algorithm
Random
O/S decides, manages
OS course for reference
Virtual Memory - Write Policy
Write back
Disks are too slow to write through
Page table maintains dirty bit
Hardware must set dirty bit on first write
O/S checks dirty bit on eviction
Dirty pages written to backing store
Disk write, 10+ ms
Virtual Memory Implementation
Caches have fixed policies, hardware FSM for control, pipeline stall
VM has very different miss penalties
Remember disks are 10+ ms!
Even SSDs are (at best) 1.5ms
1.5ms is 3M processor clocks @ 2GHz
Hence engineering choice are different
Page Faults
A virtual memory miss is a page fault
Physical memory location does not exist
Exception is raised, save PC
Invoke OS page fault handler
Find a physical page (possibly evict)
Initiate fetch from disk
Switch to other task that is ready to run
Interrupt when disk access complete
Restart original instruction
Why use O/S and not hardware FSM?
Address Translation
VA
PA
Dirty
Ref
Protection
0x20004000
0x2000
Y/N
Y/N
Read/Write/Execute
O/S and hardware communicate via PTE
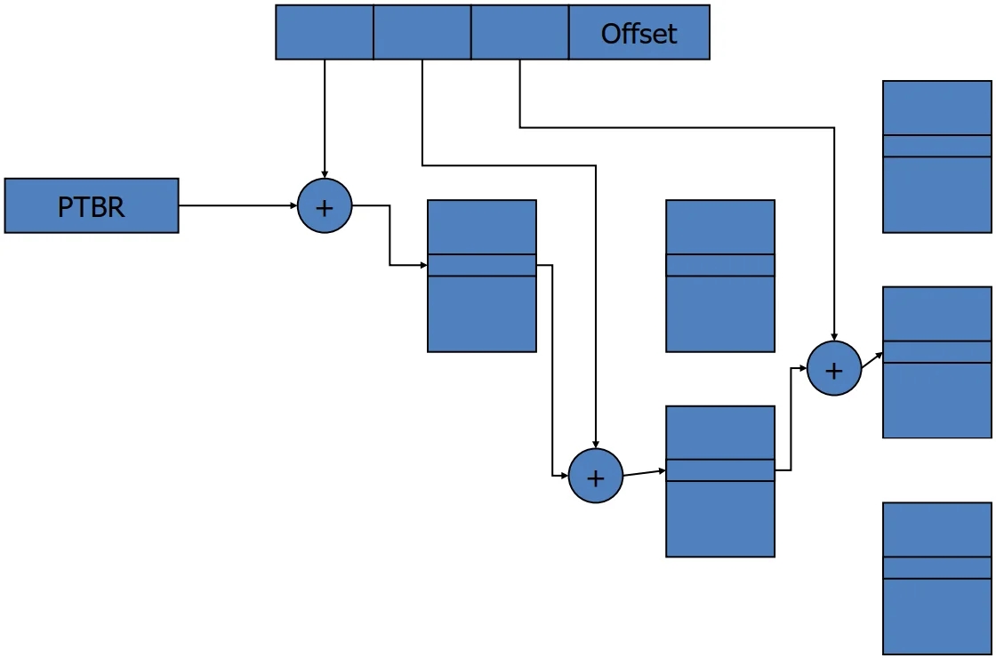
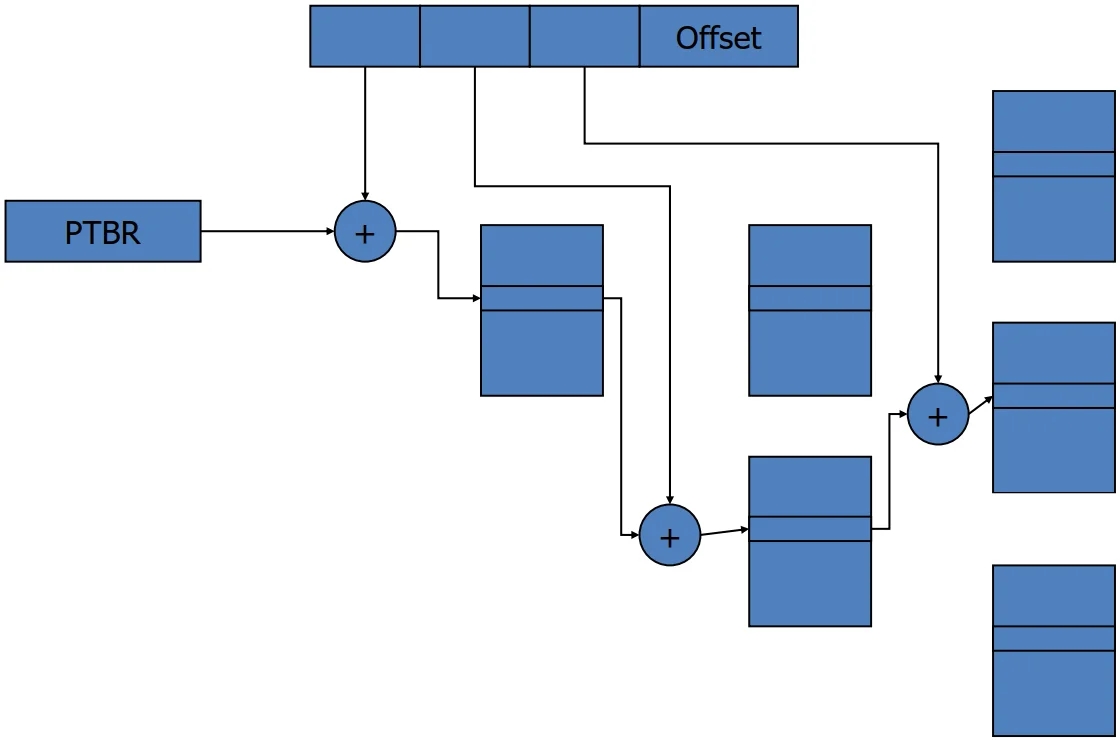
How do we find a PTE?
&PTE = PTBR + page number * sizeof(PTE)
PTBR is private for each program
Context switch replaces PTBR contents

Page Table Size
How big is page table?
232 / 4K * 4B = 4M per program (!)
Much worse for 64-bit machines
To make it smaller
Use a multi-level page table
Use an inverted (hashed) page table
Not mentioned in this course
Multilevel Page Table

High-Performance VM
VA translation
Additional memory reference to PTE
Each instruction fetch/load/store now 2 memory references
Or more, with multilevel table or hash collisions
Even if PTE are cached, still slow
Hence, use special-purpose buffer for PTEs
Called TLB (translation lookaside buffer)
Caches PTE entries
Exploits temporal and spatial locality (just a cache)

Virtual Memory Protection
Each process/program has private virtual address space
Automatically protected from rogue (恶意) programs
Sharing is possible, necessary, desirable
Avoid copying, staleness issues, etc.
Sharing in a controlled manner
Grant specific permissions
Read
Write
Execute
Any combination
Store permissions in PTE and TLB
VM Sharing
Share memory locations by:
Map shared physical location into both address spaces:
E.g. PA 0xC00DA becomes:
VA 0x2D000DA for process 0
VA 0x4D000DA for process 1
Either process can read/write shared location
However, causes homonym and synonym problem
VA Homonyms
Same VA to different PA
How to solve?
Flush cache on context switch
Add process ID to each tag
Use physically addressed caches
VA Synonyms
Different VA to same PA
Can end up with two copies of same physical line
Solutions:
hardware synonym detection
flush cache on context switch
doesn't help for aliasing within address space
detect synonyms and ensure
all read-only, OR
only one synonym mapped
restrict VM mapping so synonyms map to same cache set
Summary
Memory hierarchy: Register file
Under compiler/programmer control
Complex register allocation algorithms to optimize utilization
Memory hierarchy: Virtual Memory
Placement: fully flexible
Identification: through page table
Replacement: approximate LRU using PT reference bits
Write policy: write-back
Page tables
Forward page table
Multilevel page table
Inverted or hashed page table
Also used for protection, sharing at page level
Translation Lookaside Buffer (TLB)
Special-purpose cache for PTEs
Last updated