02.Performance Analysis
性能分析
Which of the following airplanes has the best performance?
Airplane
Passengers
Range (mi)
Speed (mph)
Boeing 737-100
101
630
598
Boeing 747
470
4150
610
BAC/Sud Concorde
132
4000
1350
Douglas DC-8-50
146
8720
544
How much faster is the Concorde vs. the 747? (Speed)
How much bigger is the 747 vs. DC-8? (Passengers)
Which computer is the fastest?
The answer is not simple:
Scientific simulation - FP performance
Program development - Integer performance
Database workload - Memory, I/O
计算机的性能
Want to buy the fastest computer for what you want to do?
Workloadis very importantCorrect measurement and analysis method
Want to design the fastest computer for what the customer wants to pay?
Cost is an important criterion(标准)
本节内容
Time and performance
Iron Law —> Time
MIPS and MFLOPS
Which programs and how to average
Amdahl’s law
如何定义性能
What is important to whom?
Computer system user
Minimize elapsed time for program:
t_resp = t_end - t_startCalled
response time (响应时间)
Datacenter manager
Maximize completion rate = #jobs/second
Called
throughput (吞吐率)
Response Time vs. Throughput
Is throughput = 1/avg. response time?
Only if
NOoverlapOtherwise, throughput > 1/avg. response time
举例:A lunch buffet (自助餐)
Assume 5 entrees (主菜)
Each person takes 2 minutes/entree
Throughput is 1 person every 2 minutes
BUT time to fill up tray (盘子) is 10 minutes
Why and what would the throughput be otherwise?
5 people simultaneously filling tray (overlap)
Without overlap, throughput = 1/10
对于计算机,什么是性能
For computer architects
CPU time = time spent running a program
Intuitively,
bigger should be faster, so:Performance = 1/X time, where X is response, CPU execution, etc.
Elapsed time(经过时间) = CPU time + I/O wait
We will concentrate on CPU time
如何提升性能
Improve (a) response time or (b) throughput?
A Faster CPU
Helps both (a) and (b)
Add more CPUs
Helps (b) and perhaps (a) due to less queueing
如何比较性能
Machine A is n times faster than machine B iff :
perf(A)/perf(B) = time(B)/time(A) = n
Machine A is x% faster than machine B iff
perf(A)/perf(B) = time(B)/time(A) = 1 + x/100
举例:time(A) = 10s, time(B) = 15s
15/10 = 1.5 => A is 1.5 times faster than B
15/10 = 1.5 => A is 50% faster than B
How to obtain the time
方法:通过分解指令
Breaking program into instructions
HW is aware of instructions, not programs
At lower level, H/W breaks instructions into cycles
Lower level state machines change state every cycle
For example:
1GHz Snapdragon runs 1000M cycles/sec, 1 cycle = 1ns
2.5GHz Core i7 runs 2.5G cycles/sec, 1 cycle = 0.25ns
Iron Law in Performance

Architecture —> Implementation —> Realization Compiler Designer | Processor Designer | Chip Designer
Instructions/Program
Instructions executed, not static code size(程序有循环, 分支)
Determined by algorithm, compiler, ISA
Cycles/Instruction
Determined by ISA and CPU organization
Overlap among instructions reduces this term
Time/cycle
Determined by technology, organization, clever circuit design
设计的目标
Minimize time which is the product,
NOTthe isolated termsCommon error to miss terms while devising optimizations
E.g. ISA change to decrease instruction count
BUT leads to CPU organization which makes clock slower
Be mind that:
terms are inter-related
其它指标
MIPS: 每秒百万次整型操作
MIPS = instruction count / (execution time x 10^6)
= clock rate / (CPI x 10^6)But MIPS has serious shortcomings
MIPS的问题(示例)
E.g. without FP hardware, an FP op may take 50 single-cycle instructions. With FP hardware, only one 2-cycle instruction
Thus, adding FP hardware:
CPI increases (why?)
50/50 => 2/1(变差了, CPI越小越好.)Instructions/program decreases (why?)
50 => 1Total execution time decreases
50 => 2
BUT, MIPS gets worse!
1 MIPS => 0.5 MIPS
MIPS的问题(根源)
Ignores program
Usually used to quote peak performance
Ideal conditions => guaranteed not to exceed!
When is MIPS ok?
Same compiler, same ISA
E.g. same binary running on AMD Jaguar, Intel Core i7
Why?
Instr/program is constant and can be factored out
其它指标
MFLOPS = FP ops in program / (execution time x 10^6)
Assuming FP ops independent of compiler and ISA
Often safe for numeric codes: matrix size determines # of FP ops/program
However, not always safe:
Missing instructions (e.g. FP divide)
Optimizing compilers
性能分析的主要原则
能用时间尽量用时间, 如果绝对时间拿不到, 用相对时间 / 归一化时间也可以.
Use
ONLYTimeBeware when reading, especially if details are omitted
Be careful when you buy products
Beware of Peak
“Guaranteed not to exceed”
Iron Law Example
A:
Machine A:clock 1ns, CPI 2.0, for program x
Machine B: clock 2ns, CPI 1.2, for program x
Which machine is faster and how much?
Ans:
Time/Program = instr/programx cycles/instrx sec/cycle
Time(A) = N x 2.0 x 1 = 2N
Time(B) = N x 1.2 x 2 = 2.4N
Compare: Time(B)/Time(A) = 2.4N/2N = 1.2So, Machine A is 20% faster than Machine B for program x
B:
Keep clock(A) @ 1ns and clock(B) @2ns To get equal performance: if CPI(B)=1.2, what should CPI(A) be?
Ans:
Time(B) / Time(A) = 1 = (Nx2x1.2) / (Nx1xCPI(A))
=> CPI(A) = 2.4C:
Keep CPI(A)=2.0 and CPI(B)=1.2
For equal performance: if clock(B)=2ns,
what should clock(A) be?
Ans:
Time(B)/Time(A) = 1 = (N x 2.0 x clock(A))/(N x 1.2 x 2)
=> clock(A) = 1.2ns总结一
Time and performance: Machine A n times faster than Machine B
Iff Time(B)/Time(A) = n
Iron Law: Performance = Time/program =

Other Metrics: MIPS and MFLOPS
Beware of peak and omitted details
怎么衡量不同机器的性能
Execution time of what program?
Best case - you always run the same set of programs
Port them and
time the whole workload
In reality, use benchmarks(基准测试)
Programs chosen to measure performance
Predict performance of actual workload
Saves effort and money
Representative? Honest? Benchmarketing..
如何表示性能(用单个数值)
-
Machine A
Machine B
Program 1
1
10
Program 2
1000
100
Total
1001
110
For total execution time, how much faster is B?
1001 / 110 = 9.1xHow to Average?
Arithmetic Mean
Arithmetic Mean (same result)

Arithmetic mean of times:
AM(A) = 1001/2 = 500.5
AM(B) = 110/2 = 55
Speedup: 500.5/55 = 9.1x
Valid only if programs run
equally often, so use weighted arithmetic mean:
How to determine the weight?
Problem of AM
E.g., 30 mph for first 10 miles, then 90 mph for next 10 miles, what is average speed?
Average speed = (30+90)/2 ???
WRONG
Average speed = total distance / total time
= (20 / (10/30 + 10/90))
= 45 mphHarmonic Mean
Harmonic mean(谐波均值) of rates =

Use HM if forced to start and end with rates (e.g. reporting MIPS or MFLOPS)Why?
Rate has time in denominator
Mean should be proportional to inverse of sums of time (not sum of inverses)
See: J.E. Smith, “Characterizing computer performance with a single number,” CACM Volume 31 , Issue 10(October 1988), pp. 1202-1206.
Dealing with Ratios
-
Machine A
Machine B
Program 1
1
10
Program 2
1000
100
Total
1001
110
If we take ratios with respect to machine A
-
Machine A
Machine B
Program 1
1
10
Program 2
1
0.1
Average
1
5.05
Avg. wrt. machine A: A is 1, 5.05If we take ratios with respect to machine B
-
Machine A
Machine B
Program 1
0.1
1
Program 2
10
1
Average
5.05
1
Can’t both be true!!! Don’t use arithmetic mean on ratios!
注: 对于相对 / 归一化的数据, 不使用均值计算, 用几何均值.
Geometric Mean
Use geometric mean for ratios
Geometric mean of ratios =

Independent of reference machineIn the example, GM for machine a is 1, for machine B is also 1
Normalized(归一化) with respect to either machine
Disadvantage
GM of ratios is not proportional to total time(GM计算时会消去时间)AM in example says machine B is 9.1 times faster
GM says they are equal
If we took total execution time, A and B are equal only if
Program 1 is run 100 times more often than program 2
Generally, GM will mispredict for three or more machines
总结二
Use AM for times
Use HM if forced to use rates
Use GM if forced to use ratios
Best of all, use unnormalized numbers to compute time
基准测试: SPEC2000
System Performance Evaluation Cooperative
Formed in 80s to combat benchmarketing
SPEC89, SPEC92, SPEC95, SPEC2000, SPEC2006
Latest one is SPEC2017
12 integer and 14 floating-point programs
Sun Ultra-5 300MHz reference machine has score of 100
Report
GM of ratiostoreference machine
Benchmark Pitfalls
Benchmark not representative
Your workload is I/O bound, SPEC is useless
Benchmark is too old
Benchmarks age poorly; benchmarketing pressure causes vendors to optimize compiler, hardware, software to match benchmarks
Need to be periodically refreshed
Amdahl’s Law
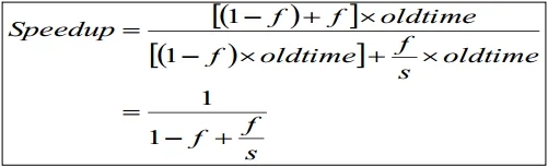
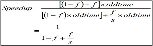
加速比 = 未优化时间 / 优化后时间
Motivation for
optimizing common caseSpeedup = old time / new time = new rate / old rate
Let an optimization speed fraction f of time by a factor of s
New_time = (1-f) x old_time + (f/s) x old_time
Speedup = old_time / new_time
Speedup = old_time / ((1-f) x old_time + (f/s) x old_time)
注: f为加速时间占总时间的比例, (1-f)为不可加速时间比例, (f/s)为可加速时间比例.
Example of Amdahl’s Law
Your boss asks you to improve performance by:
Improve the ALU used 95% of time by 10%
Improve memory pipeline used 5% of time by 10x

f
s
Speedup
95%
1.10
1.094
5%
10
1.047
5%
∞
1.052
注: 说明 optimizing common case 很重要.
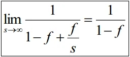
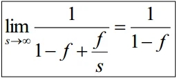
Limitation of Amdahl’s Law
Make common case fast:


Consider uncommon case!
If (1-f) is nontrivial
Speedup is limited!
Particularly true for exploiting parallelism in the large, where large s is not cheap
GPU with e.g. 1024 processors (shader cores)
Parallel portion speeds up by s (1024x)
Serial portion of code (1-f) limits speedup
E.g. 10% serial portion: 1/0.1 = 10x speedup with 1000 cores
总结三
Benchmarks: SPEC2000
Summarize performance:
AM for time
HM for rate
GM for ratio
Amdahl’s Law:

Last updated