第7章 实现
实现: 编码 + 测试
编码
编码就是把软件设计结果翻译成用某种程序设计语言书写的程序,是对设计的进一步具体化。
测试
程序的质量主要取决于软件设计的质量。软件测试是保证软件质量的关键步骤,是对软件规格说明、设计和编码的最后复审。
7.1 编码
两个问题:程序设计语言的选择和编码风格。
7.1.1 选择程序设计语言
程序设计语言 是人和计算机通信的最基本的工具,会影响人的思维和解题方式,影响人和计算机通信的方式和质量,影响其他人阅读和理解程序的难易程度。
选择 适宜的 程序设计语言的原因:
根据设计去完成编码时,困难最少;
可以减少需要的程序测试量;
可以得到更容易阅读和更容易维护的程序。
高级语言优于汇编语言:
汇编语言编码需要把软件设计翻译成机器操作的序列,既困难又容易出差错;
高级语言写程序比用汇编语言写程序生产率可以提高好几倍;
用高级语言写的程序容易阅读、容易测试、容易调试、容易维护。
理想标准:
应该有理想的
模块化机制,以及可读性好的控制结构和数据结构;使编译程序能够尽可能多地发现程序中的错误;
应该有良好的独立编译机制。
实用标准:
系统用户的要求;
可以使用的编译程序;
可以得到的软件工具;
工程规模;
程序员的知识;
软件可移植性要求;
软件的应用领域。
7.1.2 编码风格
逻辑简单清晰,易读易懂
明确的注释说明;
明确的数据定义;
简单的语句构造;
合理的程序结构;
适当的运行效率;
源程序代码的逻辑简明清晰、易读易懂是好程序的一个重要标准,为了做到这一点,应该遵循下述规则。
1. 程序内部的文档
所谓程序内部的文档包括恰当的标识符、适当的注解和程序的视觉组织等。
标识符:含义鲜明的名字、缩写规则一致、为名字加注解;注解:正确性,简要描述模块的功能、主要算法、接口特点、重要数据以及开发简史或解释包含这段代码的必要性;视觉组织:适当的阶梯形式使程序的层次结构清晰明显。
2.数据说明
数据说明的原则:
数据说明的次序应该标准化;当多个变量名在一个语句中说明时,应该按
字母顺序排列这些变量;如果设计时使用了一个
复杂的数据结构,则应该用注解说明用程序设计语言实现这个数据结构的方法和特点。
3.语句构造
下述语句构造的原则有助于使语句简单明了:
不要为了节省空间而把多个语句写在同一行;
尽量避免复杂的条件测试;
尽量减少对
“非”条件的测试;避免大量使用
循环嵌套和条件嵌套;利用
括号使逻辑表达式或算术表达式的运算次序清晰直观。
4.输入输出
在设计和编写程序时需考虑有关输入输出风格的规则:
对所有输入数据都进行检验;
检查
输入项重要组合的合法性;保持输入格式简单;
使用数据结束标记,不要要求用户指定数据的数目;
明确提示交互式输入的请求,详细说明可用的选择或边界数值;
程序设计语言对格式有严格要求时,应保持
输入格式一致;设计良好的输出报表;
给所有输出数据加标志。
5.效率
效率 主要指 处理机时间 和 存储器容量 两个方面。
效率是性能要求,因此应该在需求分析阶段确定效率方面的要求;
效率是靠好设计来提高的;
程序的效率和程序的简单程度是一致的,不要牺牲程序的清晰性和可读性来不必要地提高效率。
(1) 程序运行时间
写程序的风格会对程序的执行速度和存储器要求产生影响,应遵循的规则如下:
写程序之前先简化算术的和逻辑的表达式;
仔细研究
嵌套的循环,以确定是否有语句可以从内层往外移;尽量
避免使用多维数组;尽量
避免使用指针和复杂的表;使用执行时间短的算术运算;
不要混合使用不同的数据类型;
尽量使用整数运算和布尔表达式。
(2) 存储器效率
在大型计算机中必须考虑
操作系统页式调度的特点,一般说来,使用能保持功能域的结构化控制结构,是提高效率的好方法。在微处理机中如果要求使用最少的存储单元,则应选用有
紧缩存储器特性的编译程序,在非常必要时可以使用汇编语言。提高执行效率的技术通常也能提高存储器效率。提高存储器效率的关键同样是“简单”。
(3) 输入输出的效率
简单清晰是提高人机通信效率的关键。从写程序的角度看,却有些简单的原则可以提高输入输出的效率。
所有输入输出都应该有
缓冲,以减少用于通信的额外开销;对二级存储器(如磁盘)应选用最简单的访问方法;
二级存储器的输入输出应该以
信息组为单位进行;如果“超高效的”输入输出很难被人理解,则不应采用这种方法。
这些原则对于软件工程的设计和编码两个阶段都适用。
7.2 软件测试基础
表面上看,测试的任务与软件工程的其他工作的任务正好相反,其他任务是建立系统,或让系统运行的更好,而软件测试的工作则是尽力的破坏系统。
软件测试的两个观点
从 用户的角度 出发,普遍希望通过软件测试暴露软件中隐藏的错误和缺陷,以考虑是否可接受该产品。
从 软件开发者的角度 出发,则希望测试成为表明软件产品中不存在错误的过程,验证该软件已正确地实现了用户的要求,确立人们对软件质量的信心。
Myers软件测试目的
(1) 测试是程序的执行过程,目的在于发现错误;
(2) 一个好的测试用例在于能发现至今未发现的错误;
(3) 一个成功的测试是发现了至今未发现的错误的测试。
测试目的的通俗描述
想以最少的时间和人力,
系统地找出软件中潜在的各种错误和缺陷。如果我们成功地实施了测试,我们就能够发现软件中的错误。测试的附带收获是,它
能够证明软件的功能和性能与需求说明相符合。实施测试收集到的测试结果数据为可靠性分析提供了依据。
测试不能表明软件中不存在错误,它只能说明软件中存在错误。
软件测试的原则
(1)所有测试都应该能追溯到用户需求;
(2)应该远在测试开始之前就制定出测试计划;
(3)把Pareto原理应用到软件测试中(测试存在群集现象);
(4)该从“小规模”测试开始,并逐步进行“大规模”的测试;
(5)穷举测试是不可能的;
(6)为了达到最佳测试效果,应该由独立的第三方从事测试工作;
(7)应当把“尽早地和不断地进行软件测试”作为软件开发者的座右铭;
(8)测试用例应由测试输入数据和对应的预期输出结果这两部分组成;
(9)在设计测试用例时,应当包括合理的输入条件和不合理的输入条件;
(10)应当对每一个测试结果做全面检查;
(11)妥善保存测试计划,测试用例,出错统计和最终分析报告,为维护提供方便;
测试阶段
信息流

软件配置:软件需求规格说明、软件设计规格说明、源代码等; 测试配置:测试计划、测试用例、测试程序等; 测试工具:测试数据自动生成程序、静态分析程序、动态分析程序、测试结果分析程序、以及驱动测试的测试数据库等等。 测试结果分析:比较实测结果与预期结果,评价错误是否发生。 排错(调试):对已经发现的错误进行错误定位和确定出错性质,并改正这些错误,同时修改相关的文档。 修正后的文档再测试:直到通过测试为止。
测试过程

确认与验证
确认(Validation),是一系列的活动和过程,目的是想证实在一个给定的外部环境中软件的逻辑正确性。需求规格说明的确认;程序的确认(静态确认、动态确认)。
验证(Verification),试图证明在软件生存期各个阶段,以及阶段间的逻辑协调性、完备性和正确性。
确认与验证的手段
走查、审查和检查
软件测试的策略
测试过程按4个步骤进行,即 单元测试、集成测试、确认测试 和 系统测试。
软件测试的顺序

单元测试
单元测试又称模块测试,是针对软件设计的最小单位 ─ 程序模块,进行正确性检验的测试工作。其目的在于发现各模块内部可能存在的各种差错。(采用的方法主要是白合测试方法) 单元测试需要从程序的内部结构出发设计测试用例。多个模块可以平行地独立进行单元测试。
组装测试
通常,在单元测试的基础上,需要将所有模块按照设计要求组装成为系统。
确认测试
确认测试又称 有效性测试。任务是验证软件的功能和性能及其它特性是否与用户的要求一致。主要采用黑盒测试。
确认测试流程

系统测试
系统测试,是将通过确认测试的软件,作为整个基于计算机系统的一个元素,与计算机硬件、外设、某些支持软件、数据和人员等其它系统元素结合在一起,在实际运行环境下,对计算机系统进行一系列的集成测试和确认测试。
α测试
α测试 是由一个 用户在开发环境下进行的测试,也可以是 公司内部的用户在模拟实际操作环境下进行的测试。
β测试
β测试 是由软件的 多个用户在实际使用环境下进行的测试。这些用户返回有关错误信息给开发者。
软件测试的一些非功能性问题
可靠性测试;
强度测试(在一些极限条件下的运行测试);
性能测试;
恢复测试(硬件故障是否可能造成软件问题);
启动/停止测试;
配置测试;
安全性测试;
可使用性测试;
可支持性测试;
安装测试;
互连测试;
兼容性测试;
7.3 单元测试
单元测试集中检测软件设计的最小单元——
模块。单元测试和编码属于软件过程的同一个阶段。
在源程序代码通过编译程序的语法检查后,可以用详细设计描述作指南,对
重要的执行通路进行测试,以便发现模块内部的错误。可以应用
人工测试和计算机测试这样两种不同类型的测试方法,完成单元测试工作。单元测试主要使用
白盒测试技术,而且对多个模块的测试可以并行地进行。
7.3.1 测试重点
在单元测试期间着重从以下 5 个方面对模块进行测试。
1. 模块接口
1. 模块接口对模块接口进行测试时主要检查以下几个方面:
参数的数目、次序、属性或单位系统与变元是否一致;
是否修改了只作输入用的变元;
全局变量的定义和用法在各个模块中是否一致。
2. 局部数据结构
2. 局部数据结构对于模块来说,局部数据结构是常见的错误来源。应该仔细设计测试方案,以便发现局部数据说明、初始化、默认值等方面的错误。
3. 重要的执行通路
3. 重要的执行通路由于通常不可能进行穷尽测试,因此,在单元测试期间选择 最有代表性、最可能发现错误 的执行通路进行测试是十分关键的。应该设计测试方案用来发现由于错误的计算、不正确的比较或不适当的控制流而造成的错误。
4. 出错处理通路
4. 出错处理通路好的设计应该能预见出现错误的条件,并且设置适当的处理错误的通路。不仅应该在程序中包含出错处理通路,而且应该认真测试这种通路。评价出错处理通路应该着重测试下述一些可能发生的错误。
(1) 对错误的描述是难以理解的;
(2) 记下的错误与实际遇到的错误不同;
(3) 在对错误进行处理之前,错误条件已经引起系统干预;
(4) 对错误的处理不正确;
(5) 描述错误的信息不足以帮助确定造成错误的位置。
5. 边界条件
5. 边界条件边界测试是单元测试中最后的也可能是最重要的任务。软件常常在它的边界上失效,例如,处理n元数组的第n个元素时,或做到i次循环中的第i次重复时,往往会发生错误。
使用刚好小于、刚好等于和刚好大于最大值或最小值的数据结构、控制量和数据值的测试方案,非常可能发现软件中的错误。
7.3.2 代码审查
代码检查 是指由审查小组正式对源程序进行 人工测试。它是一种非常有效的程序验证技术,对于典型的程序来说,可以查出 30%~70% 的 逻辑设计错误 和 编码错误。审查小组最好由下述4人组成。
(1) 组长,应该是一个很有能力的程序员,而且没有直接参与这项工程;
(2) 程序的设计者;
(3) 程序的编写者;
(4) 程序的测试者。
在 审查会 上由程序的编写者解释他是怎样用程序代码实现设计的,通常是逐个语句地讲述程序的逻辑,小组其他成员仔细倾听他的讲解,并力图发现其中的错误。
审查会上需要对照程序设计常见错误清单,分析审查这个程序。当发现错误时由组长记录下来,审查会继续进行(审查小组的任务是发现错误而不是改正错误)。
审查会另外一种常见的进行方法,称为 预排:由一个人扮演“测试者”,其他人扮演“计算机”。会前测试者准备好测试方案,会上由扮演计算机的成员模拟计算机执行被测试的程序。
测试方案在代码审查中起一种促进思考引起讨论的作用。在大多数情况下,通过 向程序员提出关于他的程序的逻辑和他编写程序时所做的假设的疑问,可以发现的错误比由测试方案直接发现的错误还多。
代码审查 比 计算机测试 优越的是:一次审查会上可以发现许多错误;用计算机测试的方法发现错误之后,通常需要先改正这个错误才能继续测试,即:采用代码审查的方法可以减少系统验证的总工作量。
人工测试和计算机测试是互相补充,相辅相成的,缺少其中任何一种方法都会使查找错误的效率降低。
7.3.3 计算机测试
模块不是一个独立的程序,因此必须为每个单元测试开发驱动软件 和(或)存根软件。
驱动程序是一个“主程序”,它 接收测试数据,把这些数据传送给被测试的模块,并且印出有关的结果。
存根程序代替 被测试的模块所调用的模块,它使用被它代替的模块的接口,可能做 最少量的数据操作,印出对入口的检验或操作结果,并且把控制归还给调用它的模块。

右图是一个正文加工系统的部分层次图,假定要测试编号为3.0的关键模块——正文编辑模块。正文编辑模块不是一个独立的程序,需要有一个测试驱动程序来调用它。这个驱动程序说明必要的变量,接收测试数据——字符串,设置正文编辑模块的编辑功能。并且需要有存根程序简化地模拟正文编辑模块的下层模块来完成具体的编辑功能。
测试时,设置 修改( CHANGE) 和 添加( APPEND ) 两种编辑功能,用 控制变量CFUNCT标记要求的编辑功能,而且只用一个存根程序模拟正文编辑模块的所有下层模块。
7.4 集成测试
集成测试是测试和组装软件的系统化技术。
由模块组装成程序时有两种方法。一种方法是先分别测试每个模块,再把所有模块按设计要求放在一起结合成所要的程序,这种方法称为 非渐增式测试方法;另一种方法是把下一个要测试的模块同已经测试好的那些模块结合起来进行测试,测试完以后再把下一个应该测试的模块结合进来测试。这种每次增加一个模块的方法称为渐增式测试,这种方法实际上同时完成单元测试和集成测试。
非渐增式测 试把所有模块放在一起,作为一个整体来测试。测试时会遇到许多的错误,改正错误非常困难,因为在庞大的程序中想要诊断定位一个错误非常困难,而且改正一个错误之后,马上又会遇到新的错误,这个过程会继续下去,没有尽头。
渐增式测试 与“一步到位”的非渐增式测试相反,它把程序划分成小段来构造和测试,在这个过程中比较容易定位和改正错误;对接口可以进行更彻底的测试;可以使用系统化的测试方法。因此,目前在进行集成测试时普遍采用渐增式测试方法。
当使用渐增方式把模块结合到程序中去时,有 自顶向下 和 自底向上 两种集成策略。
7.4.1 自顶向下集成
自顶向下集成方法是从主控制模块开始,沿着程序的控制层次向下移动,逐渐把各个模块结合起来。在把附属于(及最终附属于)主控制模块的那些模块组装到程序结构中去时,或者使用深度优先的策略,或者使用宽度优先的策略。深度优先的结合方法 先组装在软件结构的一条主控制通路上的所有模块。选择一条主控制通路取决于应用的特点,并且有很大任意性。
宽度优先的结合方法 是沿软件结构水平地移动,把处于同一个控制层次上的所有模块组装起来。

如右图,使用 深度优先 的结合方法,选取左通路,首先结合模块M1\,M2和M5;其次,M8或M6(如果为了使M2具有适当功能需要M6)将被结合进来。然后构造中央的和右侧的控制通路。使用 宽度优先 的结合方法,首先结合模块M2\,M3和M4 (代替 存根程序S4 ) ,然后结合下一个控制层次中的模块M5\,M6和M7;如此继续进行下去,直到所有模块都被结合进来为止。
模块结合进软件结构的具体过程由下述 4 个步骤完成:
① 对
主控制模块进行测试,测试时用存根程序代替所有直接附属于主控制模块的模块;② 根据选定的结合策略(深度优先或宽度优先),每次用一个实际模块代换一个存根程序(新结合进来的模块往往又需要新的存根程序);
③ 在结合进一个模块的同时进行测试;
④ 为了保证加入模块没有引进新的错误,可能需要进行
回归测试(即全部或部分地重复以前做过的测试)。
从②开始不断地重复进行上述过程,直到构造起完整的软件结构为止。
自顶向下的结合策略能够在测试的早期对主要的控制或关键的抉择进行检验。在一个分解得好的软件结构中,关键的抉择位于层次系统的较上层,因此首先碰到。如果选择
深度优先的结合方法,可以在早期实现软件的一个完整的功能并且验证这个功能。在自顶向下测试的初期,存根程序代替了低层次的模块,因此,在软件结构中没有重要的数据自下往上流。为了解决这个问题,测试人员有两种选择:①
把许多测试推迟到用真实模块代替了存根程序以后再进行;②从层次系统的底部向上组装软件。
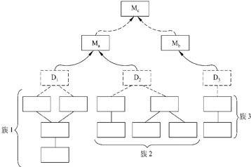
7.4.2 自底向上集成
自底向上测试 从 “原子”模块(即在软件结构最低层的模块)开始组装和测试。因为是从底部向上结合模块,总能得到所需的下层模块处理功能,所以不需要存根程序。
用下述步骤可以实现自底向上的结合策略。
① 把低层模块组合成实现某个特定的软件子功能的族;
② 写一个
驱动程序(用于测试的控制程序),协调测试数据的输入和输出;③ 对由模块组成的
子功能族进行测试;④ 去掉驱动程序,沿软件结构自下向上移动,把子功能族组合起来形成更大的子功能族。
上述第②~④步实质上构成了一个循环。

右图描绘了 自底向上 的结合过程。首先把模块组合成族1、族2和族3,使用 驱动程序(图中用虚线方框表示)对每个子功能族进行测试。族1和族2中的模块附属于模块Ma ,去掉驱动程序D1和D2,把这两个族直接同Ma连接起来。类似地,在和模块Mb结合之前去掉族3的驱动程序D3。最终Ma和Mb这两个模块都与模块Mc结合起来。随着结合向上移动,对测试驱动程序的需要减少了。
7.4.3 不同集成测试策略的比较
自顶向下测试方法的主要优点是不需要测试驱动程序,能够在测试阶段的早期实现并验证系统的主要功能,而且能在早期发现上层模块的接口错误。自顶向下测试方法的主要缺点是需要存根程序,可能遇到与此相联系的测试困难,低层关键模块中的错误发现较晚,而且用这种方法在早期不能充分展开人力。自底向上测试方法的优缺点与上述自顶向下测试方法的优缺点刚好相反。
一般说来,纯粹自顶向下或纯粹自底向上的策略可能都不实用,人们在实践中创造出许多 混合策略。
(1)
改进的自顶向下测试方法。基本上使用自顶向下的测试方法,但是在早期使用自底向上的方法测试软件中的少数关键模块。一般的自顶向下方法所具有的优点在这种方法中也都有,而且能在测试的早期发现关键模块中的错误;但是,它的缺点也比自顶向下方法多一条,即测试关键模块时需驱动程序。(2)
混合法。对软件结构中较上层使用的自顶向下方法与对软件结构中较下层使用的自底向上方法相结合。这种方法兼有两种方法的优点和缺点,当被测试的软件中关键模块比较多时,这种混合法可能是最好的折衷方法。
7.4.4 回归测试
在集成测试过程中,每当一个新模块结合进来时,程序就发生了变化:建立了新的数据流路径,可能出现了新的I/O操作,激活了新的控制逻辑。在集成测试的范畴中,
回归测试是指重新执行已经做过的测试的某个子集,以保证上述这些变化没有带来非预期的副作用。回归测试就是用于保证由于调试或其他原因引起的变化,不会导致非预期的软件行为或额外错误的测试活动。回归测试可以通过人工地进行,也可以使用自动化的捕获回放工具自动进行。利用捕获回放工具,软件工程师能够捕获测试用例和实际运行结果,然后可以回放(即重新执行测试用例),并且比较软件变化前后所得到的运行结果。
回归测试集(已执行过的测试用例的子集)包括下述 3 类不同的测试用例。
(1) 检测软件
全部功能的代表性测试用例。(2) 专门针对可能
受修改影响的软件功能的附加测试。(3) 针对
被修改过的软件成分的测试。
在集成测试过程中,回归测试用例的数量可能变得非常大。因此,应该把回归测试集设计成只包括可以检测程序每个主要功能中的一类或多类错误的那样一些测试用例。
7.5 确认测试
确认测试也称为验收测试,它的目标是验证软件的有效性。验证指的是保证软件正确地实现了某个特定要求的一系列活动;确认指的是为了保证软件确实满足了用户需求而进行的一系列活动。软件有效性的一个简单定义是:如果软件的功能和性能如同用户所合理期待的那样,软件就是有效的。需求分析阶段产生的软件需求规格说明书,准确地描述了用户对软件的合理期望,因此是软件有效性的标准,也是进行确认测试的基础。
7.5.1 确认测试的范围
确认测试必须有用户积极参与,或以用户为主进行。用户应该参与设计测试方案,使用用户界面输入测试数据并且分析评价测试的输出结果。
确认测试通常使用 黑盒测试法。应该仔细设计 测试计划 和 测试过程,测试计划包括要进行的测试的种类及进度安排,测试过程规定了用来检测软件是否与需求一致的测试方案。
通过测试和调试要保证 软件 能满足所有功能要求,能达到每个性能要求,文档资料 是准确而完整的,此外,还应该保证软件能满足 其他预定的要求(例如安全性、可移植性、兼容性和可维护性等)。
确认测试有下述两种可能的结果:
(1) 功能和性能与用户要求一致,软件是可以接受的。
(2) 功能和性能与用户要求有差距。
7.5.2 软件配置复查
**软件配置复查** 是确认测试的一个重要内容。复查的目的是保证软件配置的所有成分都齐全,质量符合要求,文档与程序完全一致,具有完成软件维护所必须的细节,而且已经编好目录。
除了按合同规定的内容和要求,由人工审查软件配置之外,在确认测试过程中还应该严格遵循 用户指南 及 其他操作程序,以便检验这些使用手册的 完整性 和 正确性。必须仔细记录发现的遗漏或错误,并且适当地补充和改正。
7.5.3 Alpha和Beta测试
如果一个软件是为许多客户开发的(例如,向大众公开出售的盒装软件产品),那么绝大多数软件开发商都使用被称为Alpha测试和Beta测试的过程,来发现那些看起来只有最终用户才能发现的错误。
Alpha测试由用户在开发者的场所进行,并且在开发者对用户的“指导”下进行测试。开发者负责记录发现的错误和使用中遇到的问题。Alpha测试是在受控的环境中进行的。Beta测试由软件的最终用户们在一个或多个客户场所进行。与Alpha测试不同,开发者通常不在Beta测试的现场。Beta测试是软件在开发者不能控制的环境中的“真实”应用。
7.6 白盒测试技术
白盒测试
此方法 把测试对象看做一个透明的盒子,它允许测试人员利用程序内部的逻辑结构及有关信息,设计或选择测试用例,对程序所有逻辑路径进行测试。 通过在不同点检查程序的状态,确定实际的状态是否与预期的状态一致。因此白盒测试又称为结构测试或逻辑驱动测试。
白盒测试的测试方法有代码检查法、静态结构分析法、静态质量度量法、逻辑覆盖法、基本路径测试法、域测试、符号测试、Z路径覆盖、程序变异。 其中运用最为广泛的是基本路径测试法。
白盒测试的目标
对程序模块的所有独立的执行路径至少测试一次;
对所有的逻辑判定,取“真”与取“假”的两种情况都至少测试一次;
在循环的边界和运行界限内执行循环体;
测试内部数据结构的有效性;
7.6.1 逻辑覆盖
逻辑覆盖 是对一系列测试过程的总称,这组测试过程逐渐进行越来越完整的通路测试。
1. 语句覆盖
语句覆盖 的含义是,选择足够多的测试数据,使被测程序中每个语句至少执行一次。

右图为被测试模块的流程图为了使每个语句都执行一次,程序的执行路径应该是sacbed,为此只需要输入下面的测试数据(实际上X可以是任意实数):A=2,B=0,X=4。
语句覆盖对程序的逻辑覆盖很少,在上面例子中两个判定条件都只测试了条件为真的情况,如果条件为假时处理有错误,显然不能发现。
语句覆盖只关心判定表达式的值,而没有分别测试判定表达式中每个条件取不同值时的情况。为了执行sacbed路径,以测试每个语句,只需两个判定表达式(A>1)AND(B=0)和(A=2)OR(X>1)都取真值,因此使用上述一组测试数据就够了。但是,如果程序中把第一个判定表达式中的逻辑运算符AND错写成OR,或把第二个判定表达式中的条件X>1误写成X<1,使用上面的测试数据并不能查出这些错误。
综上所述,可以看出语句覆盖是 很弱 的逻辑覆盖标准。
2.判定覆盖
判定覆盖 又叫分支覆盖,它的含义是,不仅每个语句必须至少执行一次,而且 每个判定的每种可能的结果都应该至少执行一次,也就是每个判定的每个分支都至少执行一次。 对于上述例子来说,能够分别覆盖路径sacbed和sabd的两组测试数据,或者可以分别覆盖路径sacbd和sabed的两组测试数据,都满足判定覆盖标准。例如,以下两组测试数据就可做到判定覆盖: ① A=3,B=0,X=3 (覆盖sacbd ) ② A=2,B=1,X=1 (覆盖sabed ) 判定覆盖比语句覆盖 强,但是对程序逻辑的覆盖程度仍然不高,例如,上面的测试数据只覆盖了程序全部路径的 一半。
3.条件覆盖
条件覆盖 的含义是,不仅每个语句至少执行一次,而且 使判定表达式中的每个条件都取到各种可能的结果。 上例中共有两个判定表达式,每个表达式中有两个条件,为了做到条件覆盖,应该选取测试数据满足下面的要求。

在a点有下述各种结果出现:
A>1,A≤1,B=0,B≠0;
在b点有下述各种结果出现:
A=2,A≠2,X>1,X≤1;
只需要使用下面两组测试数据就可以达到上述覆盖标准:
① A=2,B=0,X=4(满足A>1,B=0,A=2和X>1,执行路径sacbed)
② A=1,B=1,X=1(满足A≤1,B≠0,A≠2和X≤1,执行路径sabd)
条件覆盖通常比判定覆盖 强,但 满足条件覆盖的测试数据不一定满足判定覆盖。如果使用下面两组测试数据,则只满足条件覆盖标准并不满足判定覆盖标准(第二个判定表达式的值总为真):
① A=2,B=0,X=1(满足A>1,B=0,A=2和X≤1,执行路径sacbed)
② A=1,B=1,X=2(满足A≤1,B≠0,A≠2和X>1,执行路径sabed)
4.判定/条件覆盖
判定/条件覆盖 是一种能同时满足判定覆盖和条件覆盖的逻辑覆盖,它的含义是,选取足够多的测试数据,使得判定表达式中的每个条件都取到各种可能的值,而且每个判定表达式也都取到各种可能的结果。
对于上例而言,下述两组测试数据满足判定/条件覆盖标准:
① A=2,B=0,X=4
② A=1,B=1,X=1
但是,这两组测试数据也就是为了满足条件覆盖标准最初选取的两组数据,因此,有时判定/条件覆盖也并不比条件覆盖更强。
5.条件组合覆盖
条件组合覆盖 是更强的逻辑覆盖标准,它要求选取足够多的测试数据,使得每个判定表达式中条件的各种可能组合都至少出现一次。
对于上例,共有 8 种可能的条件组合,它们分别是:

(1) A>1,B=0
(2) A>1,B≠0
(3) A≤1,B=0
(4) A≤1,B≠0
(5) A=2,X>1
(6) A=2,X≤1
(7) A≠2,X>1
(8) A≠2,X≤1
下面的4组测试数据使上面列出的8种条件组合每种至少出现一次:
① A=2,B=0,X=4(针对(1) 和(5) ,执行路径sacbed)
② A=2,B=1,X=1 (针对(2)和(6) ,执行路径sabed )
③ A=1,B=0,X=2 (针对(3)和(7)执行路径sabed )
④ A=1,B=1,X=1 (针对(4)和(8) ,执行路径sabd )
显然,满足条件组合覆盖标准的测试数据,也一定满足判定覆盖、条件覆盖和判定/条件覆盖标准。因此,条件组合覆盖是前述几种覆盖标准中 最强的。但是,满足条件组合覆盖标准的测试数据并不一定能使程序中的每条路径都执行到,例如,上述4组测试数据都没有测试到路径sacbd。
6.点覆盖
从对程序路径的覆盖程度分析,能够提出下述一些主要的逻辑覆盖标准。
图论中 点覆盖 的定义如下:如果连通图G的子图G′是连通的,而且包含G的所有结点,则称G′是G的点覆盖。
在第6.5节中已经讲述了从程序流程图导出流图的方法。在正常情况下流图是连通的有向图。满足点覆盖标准要求选取足够多的测试数据,使得程序执行路径至少经过流图的每个结点一次,由于流图的每个结点与一条或多条语句相对应,显然,点覆盖标准和语句覆盖标准是相同的。
7.边覆盖和路径覆盖
图论中 边覆盖 的定义是:如果连通图G的子图G″是连通的,而且包含G的所有边,则称G″是G的边覆盖。为了满足边覆盖的测试标准,要求选取足够多测试数据,使得程序执行路径至少经过流图中每条边一次。通常边覆盖和判定覆盖是一致的。
路径覆盖 的含义是,选取足够多测试数据,使程序的每条可能路径都至少执行一次(如果程序图中有环,则要求每个环至少经过一次)。
基本路径测试法
基本路径测试法是在程序控制流图的基础上,通过分析控制构造的环路复杂性,导出基本可执行路径集合,从而设计测试用例的方法。
包括以下4个步骤和一个工具方法:
程序的控制流图:描述程序控制流的一种图示方法。
程序圈复杂度:McCabe复杂性度量。从程序的环路复杂性可导出程序基本路径集合中的独立路径条数,这是确定程序中每个可执行语句至少执行一次所必须的测试用例数目的上界。
导出测试用例:根据圈复杂度和程序结构设计用例数据输入和预期结果。
准备测试用例:确保基本路径集中的每一条路径的执行。
7.6.2 控制结构测试
1. 基本路径测试
基本路径测试 是McCabe提出的一种白盒测试技术。使用基本路径测试 设计测试用例 时,首先计算 程序的环形复杂度,并用该复杂度为指南定义 执行路径的基本集合,从该基本集合导出的测试用例可以保证程序中的每条语句至少执行一次,而且每个条件在执行时都将分别取真、假两种值。
使用基本路径测试技术设计测试用例的步骤如下。
① 根据过程设计结果画出相应的流图
例如,为了用基本路径测试技术测试下列的用PDL描述的求平均值过程,首先画出下图所示的流图。注意,为了正确画出流图,把被映射为流图结点的PDL语句编了序号。

② 计算流图的环形复杂度
环形复杂度定量度量程序的逻辑复杂性。使用第6.5.1小节讲述的3种方法之一计算环形复杂度。经计算,流图的环形复杂度为 6。
③ 确定线性独立路径的基本集合
独立路径 是指至少引入程序的一个新处理语句集合或一个新条件的路径,即独立路径至少包含一条在定义该路径之前不曾用过的边。
程序的环形复杂度决定了程序中独立路径的数量,而且这个数是确保程序中所有语句至少被执行一次所需的测试数量的上界。
上述程序的环形复杂度为6,因此共有6条独立路径。
路径1: 1-2-10-11-13
路径2: 1-2-10-12-13
路径3: 1-2-3-10-11-13
路径4: 1-2-3-4-5-8-9-2-…
路径5: 1-2-3-4-5-6-8-9-2-…
路径6: 1-2-3-4-5-6-7-8-9-2-…
④ 设计可强制执行基本集合中每条路径的测试用例
应该选取测试数据使得在测试每条路径时都适当地设置好各个判定结点的条件。测试第③步得出的基本集合的测试用例如下。
路径1的测试用例:
value[k]=有效输入值,其中k<i(i的定义在下面)
value[i]=-999,其中2≤i≤100
预期结果:基于k的正确平均值和总数
注意,路径1无法独立测试,必须作为路径4或5或6的一部分来测试。
路径2的测试用例:
value[1]=-999
预期结果: average=-999,其他都保持初始值
路径3的测试用例:
试图处理101个或更多个值,前100个数值应该是有效输入值
预期结果:前100个数的平均值,总数为100
注意,路径3无法独立测试,必须作为路径4或5或6的一部分来测试。
路径4的测试用例:
value[i]=有效输入值,其中i<100
value[k]<minimum,其中k<i
预期结果:基于k的正确平均值和总数
路径5的测试用例:
value[i]=有效输入值,其中i<100
value[k]>maximum,其中k<i
预期结果:基于k的正确平均值和总数
路径6的测试用例:
value[i]=有效输入值,其中i<100
预期结果:正确的平均值和总数
在测试过程中,执行每个测试用例并把实际输出结果与预期结果相比较。一旦执行完所有测试用例,就可以确保程序中所有语句都至少被执行了一次,而且每个条件都分别取过true值和false值。
注意,某些独立路径(例如,本例中的路径1和路径3)不能以独立的方式测试,例如,为了执行本例中的路径1,需要满足条件total.valid>0。在这种情况下,这些路径必须作为另一个路径的一部分来测试。
2. 条件测试
用 条件测试技术 设计出的测试用例,能够检查程序模块中包含的逻辑条件。一个简单条件是一个 布尔变量 或一个 关系表达式,在布尔变量或关系表达式之前还可能有一个NOT(┐)算符。关系表达式的形式如下:
E1<关系算符>E2
其中,E1和E2是算术表达式,而<关系算符>是下列算符之一:<,≤,=,≠,>或≥。布尔算符有OR(|),AND(&)和NOT( ┐)。不包含关系表达式的条件称为 布尔表达式。
因此,条件成分的类型包括 布尔算符、布尔变量、布尔括弧(括住简单条件或复合条件)、关系算符 及 算术表达式。
如果条件不正确,则至少条件的一个成分不正确。因此,条件错误的类型有:布尔算符错、布尔变量错、布尔括弧错、关系算符错、算术表达式错。
条件测试方法着重测试程序中的每个条件。条件测试策略有两个优点: ①容易度量条件的测试覆盖率; ②程序内条件的测试覆盖率可指导附加测试的设计。
条件测试的目的不仅是检测程序条件中的错误,而且是检测程序中的其他错误。如果程序P的测试集能有效地检测P中条件的错误,则它很可能也可以有效地检测P中的其他错误。
在分支测试、域测试等条件测试技术的基础上,K.C.Tai提出了一种被称为 BRO(branch and relational operator) 测试的条件测试策略。如果在条件中所有布尔变量和关系算符都只出现一次而且没有公共变量,则BRO测试保证能发现该条件中的分支错和关系算符错。
BRO测试 利用条件C的条件约束来设计测试用例。包含n个简单条件的条件C的条件约束定义为(D1,D2,…,Dn),其中Di(0<i≤n)表示条件C中第i个简单条件的输出约束。如果在条件C的一次执行过程中,C中每个简单条件的输出都满足D中对应的约束,则称 C的这次执行覆盖了C的条件约束D。
对于布尔变量B来说,B的输出约束指出,B必须是真(t)或假(f)。类似地,对于关系表达式来说,用符号>,=和<指定表达式的输出约束。
作为第一个例子,考虑下列条件: C1:B1 & B2
其中,B1和B2是布尔变量。C1的条件约束形式为(D1,D2),其中D1和D2中的每一个都是t或f。值(t,f) 是C1的一个条件约束,并由使B1值为真B2值为假的测试所覆盖。BRO测试策略要求,约束集 {(t,t),(f,t),(t,f)} 被C1的执行所覆盖。如果C1因布尔算符错误而不正确,则至少上述约束集中的一个约束将迫使C1失败。
作为第二个例子,考虑下列条件 C2:B1 & (E3=E4)
其中,B1是布尔变量,E3和E4是算术表达式。C2的条件约束形式为(D1,D2),其中D1是t或f,D2是>,=或<。除了C2的第二个简单条件是关系表达式之外,C2和C1相同,故可以通过修改C1的约束集{(t,t),(f,t),(t,f)}得出C2的约束集。
注意,对于(E3=E4)来说,t意味=,而f意味着<或>,因此,分别用(t,=)和(f,=)替换(t,t)和(f,t),并用(t,<)和(t,>)替换(t,f),就得到C2的约束集{(t,=),(f,=),(t,<),(t,>)}。覆盖上述条件约束集的测试,保证可以发现C2中布尔算符和关系算符的错误。
作为第三个例子,考虑下列条件 C3:(E1>E2) & (E3=E4)
其中,E1、E2、E3和E4是算术表达式。C3的条件约束形式为(D1,D2),而D1和D2的每一个都是>,=或<。除了C3的第一个简单条件是关系表达式之外,C3和C2相同,因此,可以通过修改C2的约束集得到C3的约束集,结果为:{(>,=),(=,=),(<,=),(>,<),(>,>)} 覆盖上述条件约束集的测试,保证可以发现C3中关系算符的错误。
3.循环测试
循环测试 是一种白盒测试技术,它专注于测试循环结构的有效性。在结构化的程序中通常只有 3 种循环,即 简单循环、串接循环 和 嵌套循环。

(1) 简单循环
应该使用下列测试集来测试简单循环,其中n是允许通过循环的最大次数。
跳过循环。
只通过循环一次。
通过循环两次。
通过循环m次,其中m<n-1。
通过循环n-1,n,n+1次。
(2) 嵌套循环
如果把简单循环的测试方法直接应用到嵌套循环,测试数就会随嵌套层数的增加按几何级数增长,B.Beizer提出了一种能减少测试数的方法。跳过循环。
从最内层循环开始测试,把所有其他循环都设置为最小值。
对最内层循环使用简单循环测试方法,而使外层循环的迭代参数(例如,循环计数器)取最小值,并为越界值或非法值增加一些额外的测试。
由内向外,对下一个循环进行测试,但保持所有其他外层循环为最小值,其他嵌套循环为“典型”值。继续进行下去,直到测试完所有循环。
(3) 串接循环
如果串接循环的各个循环都彼此独立,则可以使用前述的测试简单循环的方法来测试串接循环。但是,如果两个循环串接,而且 第一个循环的循环计数器值是第二个循环的初始值,则这两个循环并不是独立的。当循环不独立时,建议使用测试嵌套循环的方法来测试串接循环。
7.7 黑盒测试技术
黑盒测试这种方法是把 测试对象 看做 一个黑盒子,测试人员完全不考虑程序内部的逻辑结构和内部特性,只依据程序的需求规格说明书,检查程序的功能是否符合它的功能说明。黑盒测试又叫做 功能测试 或 数据驱动测试。
注:黑盒测试方法是在程序接口上进行测试
黑盒测试的目标
是否有不正确或遗漏了的功能?在接口上,
输入能否正确地接受?能否输出正确的结果?是否有数据结构错误或外部信息(例如数据文件)访问错误?性能上是否能够满足要求?是否有初始化或终止性错误 ?
用黑盒测试发现程序中的错误,必须在所有可能的输入条件和输出 ?
条件中确定测试数据,来检查程序是否都能产生正确的输出。 ?
白盒测试 在测试过程的 早期 阶段进行,而 黑盒测试 主要用于测试过程的后期。设计黑盒测试方案时,应该考虑下述问题。
(1) 怎样测试
功能的有效性?(2) 哪些类型的输入可构成
好测试用例?(3) 系统是否对特定的
输入值特别敏感?(4) 怎样划定数据类的
边界?(5) 系统能够承受什么样的
数据率和数据量?(6) 数据的
特定组合将对系统运行产生什么影响?
应用黑盒测试技术,能设计出满足下述标准的测试用例集。
(1)所设计出的测试用例能够
减少为达到合理测试所需要设计的测试用例的总数。(2)所设计出的测试用例能够告诉人们,是否存在某些
类型的错误,而不是仅仅指出与特定测试相关的错误是否存在。
7.7.1 等价划分
等价划分 把程序的输入域划分成 若干个数据类,据此导出测试用例。等价划分法力图设计出能发现若干类程序错误的测试用例,从而减少必须设计的测试用例的数目。
如果把所有可能的输入数据(有效的和无效的)划分成若干个等价类,则可以合理地做出下述假定:每类中的一个典型值在测试中的作用与这一类中所有其他值的作用相同。因此,可以从每个等价类中只取一组数据作为测试数据。这样选取的测试数据 最有代表性,最可能发现程序中的错误。
使用等价划分法设计测试方案 首先需要划分输入数据的等价类,为此需要研究程序的功能说明,从而确定输入数据的 有效等价类 和 无效等价类。
划分等价类需要经验,下述的 启发式规则 可能有助于等价类划分。
(1) 如果规定了输入值的范围,则可划分出
一个有效的等价类(输入值在此范围内),两个无效的等价类(输入值小于最小值或大于最大值)。(2) 如果规定了输入数据的个数,则类似地也可以划分出一个有效的等价类和两个无效的等价类。
(3) 如果规定了输入数据的一组值,而且程序对不同输入值做不同处理,则每个允许的输入值是一个有效的等价类,此外还有一个无效的等价类(任一个不允许的输入值)。
(4) 如果规定了输入数据必须遵循的规则,则可以划分出
一个有效等价类(符合规则)和若干个无效等价类(从各种不同角度违反规则) 。(5) 如果规定了输入数据为整型,则可以划分出正整数、零和负整数
3个有效类。(6) 如果程序的处理对象是表格,则应该使用空表,以及含一项或多项的表。
划分出等价类以后,根据等价类设计测试方案时主要使用下面两个步骤。
(1) 设计一个新的测试方案以
尽可能多地覆盖尚未被覆盖的有效等价类,重复这一步骤直到所有有效等价类都被覆盖为止。(2) 设计一个新的测试方案,使它
覆盖一个而且只覆盖一个尚未被覆盖的无效等价类,重复这一步骤直到所有无效等价类都被覆盖为止。
注意,通常程序发现一类错误后就不再检查是否还有其他错误,因此,应使每个测试方案只覆盖一个无效的等价类。
假设有一个把 数字串转变成整数 的函数。运行程序的计算机字长 16 位,用二进制补码表示整数。这个函数是用Pascal语言编写的,它的说明如下:
function strtoint (dstr:shortstr):integer;
函数的参数类型是shortstr,它的说明是:
type shortstr=array[1..6] of char;
被处理的数字串是 右对齐 的,也就是说,如果数字串比6个字符短,则在它的左边补空格。如果数字串是负的,则负号和最高位数字紧相邻(负号在最高位数字左边一位)。
考虑到Pascal编译程序固有的检错功能,测试时不需要使用长度不等于6的数组做实际参数,更不需要使用任何非字符数组类型的实在参数。
分析这个程序的规格说明,可以划分出如下等价类。
有效输入的等价类有(1) 1~6个数字字符组成的数字串(最高位数字不是零)。
(2) 最高位数字是零的数字串。
(3) 最高位数字左邻是负号的数字串。
无效输入的等价类有(1) 空字符串(全是空格)。
(2) 左部填充的字符既不是零也不是空格。
(3) 最高位数字右面由数字和空格混合组成。
(4) 最高位数字右面由数字和其他字符混合组成。
(5) 负号与最高位数字之间有空格。
合法输出的等价类有(1) 在计算机能表示的最小负整数和零之间的负整数。
(2) 零。
(3) 在零和计算机能表示的最大正整数之间的正整数。
非法输出的等价类有(1) 比计算机能表示的最小负整数还小的负整数。
(2) 比计算机能表示的最大正整数还大的正整数。
因为所用的计算机字长16位,用二进制补码表示整数,所以能表示的最小负整数是-32 768,能表示的最大正整数是32 767。
根据划分出的等价类,可以设计出下述测试方案如下:

7.7.2 边界值分析
经验表明,处理边界情况时程序最容易发生错误。例如,许多程序错误出现在下标、纯量、数据结构和循环等等的边界附近。因此,设计使程序运行在边界情况附近的测试方案,暴露出程序错误的可能性更大一些。
使用 边界值分析方法 设计测试方案首先应该确定边界情况,通常输入等价类和输出等价类的边界。选取的测试数据应该刚好等于、刚刚小于和刚刚大于边界值。
通常设计测试方案时总是联合使用 等价划分 和 边界值分析 两种技术。
为了测试前述的把数字串转变成整数的程序,除了上一小节已经用等价划分法设计出的测试方案外,还应该用边界值分析法再补充下述测试方案。

根据边界值分析方法的要求,应该分别使用长度为0,1和6的数字串作为测试数据。
7.7.3 错误推测
错误推测法 在很大程度上靠 直觉 和 经验 进行。它的基本想法是列举出程序中可能有的错误和容易发生错误的特殊情况,并且根据它们选择测试方案。
应该仔细分析程序规格说明书,注意找出其中遗漏或省略的部分,以便设计相应的测试方案,检测程序员对这些部分的处理是否正确。
经验表明,在一段程序中已经发现的错误数目往往和尚未发现的错误数成正比。例如,在IBM OS/370操作系统中,用户发现的全部错误的47%只与该系统4%的模块有关。进一步测试时着重测试那些已发现了较多错误的程序段。
等价划分法和边界值分析法都只孤立地考虑各个输入数据的测试功效,而没有考虑多个输入数据的 组合效应,可能会遗漏了输入数据易于出错的组合情况。
选择输入组合 的一个有效途径是利用 判定表 或 判定树 为工具,列出输入数据各种组合与程序应作的动作(及相应的输出结果)之间的对应关系,然后为判定表的每一列至少设计一个测试用例。
选择输入组合的另一个有效途径是把 计算机测试 和 人工检查代码 结合起来。
7.8 调试
调试(也称为纠错)作为成功测试的后果出现,即 调试是在测试发现错误之后排除错误的过程。
软件错误的外部表现和它的内在原因之间可能并没有明显的联系。调试 就是把症状和原因联系起来的尚未被人深入认识的智力过程。
7.8.1 调试过程
调试不是测试。
调试过程从执行一个测试用例开始,评估测试结果,如果发现实际结果与预期结果不一致,则这种不一致就是一个症状,它表明在软件中存在着隐藏的问题。调试过程试图找出产生症状的原因,以便改正错误。

调试过程总会有以下两种结果之一: ①找到了问题的原因并把问题改正和排除掉了; ②没找出问题的原因。在后一种情况下,调试人员可以猜想一个原因,并设计测试用例来验证这个假设,重复此过程直至找到原因并改正了错误。
调试工作如此困难,软件错误的下述特征也是相当重要的原因。
(1) 症状和产生症状的原因可能在程序中相距甚远,也就是说,症状可能出现在程序的一个部分,而实际的原因可能在与之相距很远的另一部分。
紧耦合的程序结构更加剧了这种情况。(2) 当改正了另一个错误之后,症状可能暂时消失了。
(3) 症状可能实际上并不是由错误引起的(例如,舍入误差)。
(4) 症状可能是由不易跟踪的
人为错误引起的。(5) 症状可能是由
定时问题而不是由处理问题引起的。(6) 可能很难重新产生完全一样的输入条件(例如,输入顺序不确定的实时应用系统)。
(7) 症状可能时有时无,这种情况在硬件和软件紧密地耦合在一起的嵌入式系统中特别常见。
(8) 症状可能是由分布在许多任务中的原因引起的,这些任务运行在不同的处理机上。
1.蛮干法
蛮干法可能是寻找软件错误原因的最低效的方法。仅当所有其他方法都失败了的情况下,才应该使用这种方法。
蛮干法按照“让计算机自己寻找错误”的策略,这种方法印出内存的内容,激活对运行过程的跟踪,并在程序中到处都写上WRITE(输出)语句,希望在这样生成的信息海洋的某个地方发现错误原因的线索。
在更多情况下这样做只会浪费时间和精力。在使用任何一种调试方法之前,必须首先进行周密的思考,必须有明确的目的,应该尽量减少无关信息的数量。
2.回溯法
回溯是一种相当常用的调试方法,当调试小程序时这种方法是有效的。具体做法:从发现症状的地方开始,人工沿程序的控制流往回追踪分析源程序代码,直到找出错误原因为止。
随着程序规模的扩大,应该回溯的路径数目变得越来越大,回溯法不适用于这种规模的程序。
3.原因排错法
对分查找法、归纳法 和 演绎法 都属于原因排除法。
对分查找法 的基本思路是,如果已经知道每个变量在程序内 若干个关键点 的正确值,则可以用赋值语句或输入语句在程序中点附近“注入”这些变量的正确值,然后运行程序并检查所得到的输出。
归纳法 是从 个别现象推断出一般性结论 的思维方法。使用这种方法调试程序时,首先把和错误有关的数据组织起来进行分析,以便发现可能的错误原因。然后导出对错误原因的一个或多个假设,并利用已有的数据来证明或排除这些假设。
演绎法 从 一般原理 或前提出发,经过 排除和精化 的过程推导出结论。采用这种方法调试程序时,首先设想出所有可能的出错原因,然后试图用测试来排除每一个假设的原因。
7.9 软件可靠性
7.9.1 基本概念
软件可靠性 是程序在给定的 时间间隔内,按照规格说明书的规定成功地运行的概率。软件可靠性随着给定的时间间隔的加大而减少。
一般说来,对于任何其故障是可以修复的系统,都应该同时使用可靠性和可用性衡量它的优劣程度。
软件可用性 是程序在给定的 时间点,按照规格说明书的规定,成功地运行的概率。
可靠性和可用性之间的主要差别 是,可靠性意味着在0到t这段时间间隔内系统没有失效,而可用性只意味着在时刻t,系统是正常运行的。
如果在一段时间内,软件系统故障停机时间分别为td1,td2,…,正常运行时间分别为tu1,tu2,…,则 系统的稳态可用性 为:
A_ss = T_up / (T_up + T_down)
其中,Tup=∑tui,Tdown=∑tdi
引入 系统平均无故障时间MTTF 和 平均维修时间MTTR 的概念,则上式变为:
A_ss = MTTF / (MTTF + MTTR)
平均维修时间MTTR是修复一个故障平均需要的时间,它取决于 维护人员的技术水平 和 对系统的熟悉程度,也和系统的可维护性有重要关系。平均无故障时间MTTF是系统按规格说明书规定成功地运行的平均时间,它主要取决于系统中 潜伏的错误的数目。
7.9.2 估算平均无故障时间的方法
1.符号
在估算MTTF的过程中使用下述符号表示有关的数量。
ET——测试之前程序中错误总数;
IT——程序长度(机器指令总数);
τ——测试(包括调试)时间;
Ed(τ)——在0至τ期间发现的错误数;
Ec(τ)——在0至τ期间改正的错误数。
2.基本假定
(1) 在类似的程序中,单位长度里的错误数
ET / IT近似为常数。美国的一些统计数字表明,通常0.5×10-2≤
ET / IT≤2×10-2(2) 失效率正比于软件中剩余的(潜藏的)错误数,而平均无故障时间MTTF与剩余的错误数成反比。
(3) 假设发现的每一个错误都立即正确改正了(即调试过程没有引入新的错误),Ec(τ)=Ed(τ)。剩余的错误数为Er(τ)=ET -Ec(τ),单位长度程序中剩余的错误数为
εr(τ)=ET/IT - Ec(τ)/IT。
3.估算平均无故障时间
经验表明,平均无故障时间与单位长度程序中剩余的错误数成反比,即:
MTTF = 1 / K(ET/IT - EC(τ)/IT)
其中,K为常数,它的值应该根据经验选取。美国的一些统计数字表明,K的典型值是200。
4.符号
(1)
植入错误法
在测试之前由专人在程序中随机地植入一些错误,测试之后,根据测试小组发现的错误中 原有的 和 植入的 两种错误的比例,来估计程序中原有错误的总数ET。
假设人为地植入的错误数为Ns,经过一段时间的测试之后发现ns个植入的错误,此外还发现了n个原有的错误。如果可以认为测试方案发现植入错误和发现原有错误的能力相同,则能够估计出程序中原有错误的总数为 N = (n/n_s)*N_s
其中,N 是错误总数ET的估计值。
(2) 分别测试法
为了随机地给一部分错误加标记,分别测试法 使用两个测试员(或测试小组),彼此独立地测试同一个程序的两个副本,把其中一个测试员发现的错误作为有标记的错误。具体做法是,在测试过程的早期阶段,由测试员甲和测试员乙分别测试同一个程序的两个副本,由另一名分析员分析他们的测试结果。用τ表示测试时间,假设
τ=0时错误总数为B0;
τ=τ1时测试员甲发现的错误数为B1;
τ=τ1时测试员乙发现的错误数为B2;
τ=τ1时两个测试员发现的相同错误数为bc。

本章小结
实现包括
编码和测试两个阶段。高级程序设计语言较汇编语言有很多优点。通常软件测试至少分为
单元测试、集成测试和验收测试3个基本阶段。软件测试不仅仅指利用
计算机进行的测试,还包括人工进行的测试(例如,代码审查)。白盒测试和黑盒测试是软件测试的两类基本方法,设计白盒测试方案的技术主要有,逻辑覆盖和控制结构测试;设计黑盒测试方案的技术主要有,等价划分、边界值分析和错误推测。及时改正测试过程中发现的软件错误就是
调试的任务。程序中潜藏的错误的数目,直接决定了软件的
可靠性。通过测试可以估算出程序中剩余的错误数。
Last updated